色差單位是用來衡量物體間色差大小的物理量,在色差儀的使用過程中,狠多用戶會比較好奇:色差儀的色差單位是什么?如何查看和分析色差數值?本文進行了簡單總結,僅供參考。

色差儀的色差單位是什么?
現代色差評定根據國際照明協會(CIE)推薦的標準色差公式并采用儀器和電腦測量計算,用精確的數字來表示,常常會用到CIE 1976L*a*b*和CIE 1976L*u*v*等色差公式來計算色差。
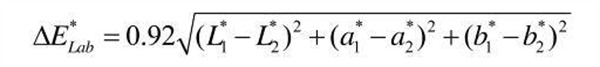
NBS色差單位就目前人們衡量色差的一個標準單位,這是以Y1/2、a、b色差計算公式計算的絕對值1作為一個單位,是美國國家標準局在1939年推行的色差計算公式。一個NBS單位大約相當于視覺色差識別閾值的5倍。如果與孟塞爾系統中相鄰兩級的色差值比較,則1NBS單位約等于0.1孟塞爾明度值、0.15孟塞爾彩度值、2.5孟塞爾色相值(彩度為1);孟塞爾系統相鄰兩個色彩的差別約為10NBS單位。至于產品顏色差異應允許多大范圍才算合適,要根據人的色彩感覺差別來確定。
1NBS色差單位其實是一種色差計算公式下的單位,不過市面上的高精度色差儀產品有很多都包含多種色差計算公式,在這種情況下我們就沒辦法說NBS就是色差儀的單位。雖然不同色差公司的單位都和NBS單位大略相同,不過其實還會有一定的差別。所以應用不同的色差公式的時候,色差儀的單位其實是不同的。
NBS單位曾經被作為所有色差計算公式的單位,延續了很長一段時間,不過在上世紀70年代以后,隨著大量的色差公式出現(如上面的CIE 1976L*a*b*和CIE 1976L*u*v*),一律采用相同的標準計算單位就顯得不精準,而且沒有必要。為了更加科學的表示色差值,人們就會直接采用△ECIE、△ECMC不再使用NBS單位。
可以看出來色差儀其實沒有固定的單位,所以用戶在表述測量結果的時候,只需要注明是何種色差計算公式即可。
如何查看和分析色差數值?
色差儀數值含義:
L(亮度)軸表示黑白,0為黑,100為白
A(紅綠)軸正值為紅,負值為綠,0為中性色
B(黃藍)軸正值為黃,負值為藍,0為中性色
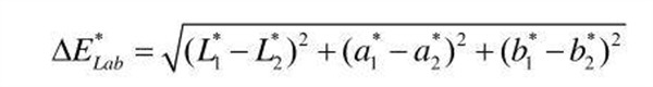
所有顏色都可以通過Lab色空間感知并測量,這些數據也可以用來表示標樣同測試樣的色差,并通常以△Eab(總色差)△L△a△b表示。
色差△E計算公式:
不同顏色空間色差計算公式有很多種,常用的色差ΔE計算公式有DE76(DEab)、DE94、DE2000、DECMC等。現在市面上的分光測色儀一般都支持多種色差計算公式,比如YS3010,就可以支持ΔE*ab,ΔE*uv,ΔE*94,ΔE*cmc(2:1),ΔE*cmc(1:1),ΔE*00,ΔE(Hunter)等計算公式。當然一般主要關注的就是L、A、B值,其他的計算公式都只是作為參考。
CIELAB色差單位:

NBS色差單位:

綜合來看,色差儀的單位并沒有一個明確的固定單位,我們通常會根據不同的色差計算公式來表示色差值。